NAUKA KAO ŽIVOT
Ljubiša Kočinac, redovan profesor prirodno- matematičkog fakulteta univerziteta u Nišu
SLABO SAVRŠENI PROSTORI
Video sam veličanstvene meskičke piramide, carsku palatu u Kjotu i pekinški Zabranjeni grad, Kineski zid i dvorac Sjazdov, Nevski prospekt i persijski Tabriz, ali jedna je Župa – kaže matematičar Ljubiša Kočinac, po mnogo čemu jedinstvena ličnost u našoj univerzitetskoj i naučnoj sredini
Kao da iz Župe nikuda nije odlazio a izgradio je uspešnu univerzitetsku i naučnu karijeru. Bio je učesnik topoloških simpozijuma širom sveta, na koje se samo eminentni predstavnici ove matematičke discipline pozivaju, predavač po pozivu na mnogim stranim univerzitetima, a čini se da svoju Župu nikada nije napuštao.
Jedna je Župa i jedan je profesor Ljubiša Kočinac.
Među svetskim topolozima profesor Kočinac jedini živi u malom gradu, kakav je Aleksandrovac župski, i sve češće, posle tih naučnih konferencija, dolazi u rodno Zleginje, selo “plavo kao Sredozemlje”, kako veli pesnik. “U tome i jeste lepota posla kojim se bavim. Česti ili relativno česti izlasci u svet uvek su vrsta potrebnog i finog osveženja, intelektualnog i duhovnog provetravanja. Iz Zleginja odem u Japan, Italiju ili negde drugde ali se krug opet završi u selu. Povratak ovde je ono najlepše”, kaže profesor Kočinac.
 |
Očaran monumentalnošću Kineskog zida |
Sada, nastavlja svoju priču, nije problem da se čovek bavi naukom u malom mestu. A kad je počinjao, ustajao je u tri ujutru da bi autobusom došao u Beograd, snimio dva-tri članka ili otišao na konsulatcije sa profesorima, često i nekorisne, jer su redovno imali preča posla i za ozbiljnog i ambicioznog magistranta iz provincije čitava tri minuta. “Danas je sve jednostavnije, imam internet, elektronsku poštu, komunikacija je svakovrsna i ubrzana”, kaže.
Nesuđeni učitelj
Profesor Kočinac je do naučnih visina išao težim, zavojitim, reći će “krajnje zavojitim” putem. Otac Dragi je želeo da mu sin jedinac završi učiteljsku školu i učiteljuje u svom selu. Sin nije protivrečio ocu, iako je kao odličan đak želeo da pohađa gimnaziju. Uvek je dobro znao matematiku i taj dar je u gimnaziji mogao samo još više da razvije.
- Ne bismo se sreli – upada u razgovor supruga Dana.
Ali, sve je dobro što se dobro svrši.Profesor smatra da nije bila loša Učiteljska škola u Kruševcu u to vreme. U njoj se u većoj meri učila filozofija, sociologija, pedagogija, logika, književnost. “Naravno, kaže, nije to bila škola za prirodne nauke. Matematika i fizika su bile slabije zastupljene, posebno za studije matematike. Ja sam hteo da studiram matematiku, mada me je profesor sociologije i logike ubeđivao da studiram filozofiju. Filozofija i matematika su bliske, ali sam ja matematici bio bliži i matematika meni”.
Tu posebnu radoznalost za matematiku osetio je u sedmom i prvom polugođu osmog razreda kada je u zleginjskoj školi ovaj predmet predavao Srećko Aleksić. Pamti da je bio od Arilja, da je bio sjajan nastavnik i da je kasnije završio fakultet i živeo u Zenici.
Jedina petica
- Znam ga od prvog učiteljske. Radili smo prvi pismeni iz matematike. Kako sam bila u školi iz koje sam došla dobar đak, nisam ostala ravnodušna prema činjenici da je od 600 učenika samo jedan dobio peticu. Pitala sam se ko je taj učenik. Pokazali su mi jednog dečaka, u lepoj jakni za ono vreme, iz I-5 – seća se tog trenutka supruga Dana. |
Nesuđenom učitelju se nije ispunila ni želja da matematiku studira na Beogradskom univerzitetu, već je, zajedno sa suprugom, studirao na Prištinskom, koji je tada bio deo Univerziteta u Beogradu. Na drugoj godini je dobio univerzitetsku stipendiju s obavezom po završetku studija da svoje usluge ponudi Univerzitetu u Prištini, ako bude zainteresovan,. “Prištinski univerzitet je postao samostalan nekoliko meseci pre nego što sam diplomirao. Na fakultetu su jedva čekali da ne ostanem, a i ja isto tako”, priča Kočinac, “Došao sam sa suprugom u aleksandrovačku gimnaziju, ponudili su nam stan i mi smo se latili dnevnika s namerom da posle nekoliko godina odemo u veći grad. Ali, ostadosmo ovde. Ne vidim da nam nešto posebno nedostaje. Lepo je što odavde dostižemo razne tačke - Moskva, Riga, Pitsburg, Meksiko, Akapulko, Japan, Kina, Sicilija, Prag, Baku, Sofija, Budimpešta...”
Na ruskom izvoru
U prvim naučnim danima najviše se družio sa ruskim prijateljima. Opredelio se za Moskvu, veli, da bi “nešto naučio” i popravio to što je smatrao “znanjem ili neznanjem”. Bilo je to za asistenta na jednoj mladoj matematičkoj katedri u Nišu, koji je tek dobijao konture pravog univerzitetskog grada, značajno iskustvo. “Naučna atmosfera u to vreme u Moskvi je bila sjajna, ne samo u mojoj oblasti, topologiji, nego i u drugim naukama.
Gosti u Župi
Gosti profesora Kočinca u njegovom alkesandrovačkom stanu i rodnoj kući u desetak kilometara udaljenom Zleginju bili su mnogi poznati matematičari: Vitalij Fedorčuk i Aleksandar Arhangeljskij (Moskva), Robert Hit (Pitsburg), Aleksandar Šostak (Riga), Salvador Garsia-Fereira (Meksiko), Cugunori Nogura (Macujama, Japan), Ofelija Alas (Sao Paulo), Đuzepe Di Majo (Kazerta, Italija), Peter Osmatesku (Kišinjev), Stojan Nedev (Sofija), Marion Skipers (SAD)... Profesor kaže da ih isključivo služe domaćim jelima i župskim pićem. Nogura i Dmitrij Šahmatov su se, za svetkovanja Župske berbe, posebno radovali prasetu na ražnju i fontani vina. Žali samo što ne razumeju župski humor. |
Moskva je tada sa svojim Katedralnim seminarom za topologiju, bila najveći svetski topološki centar. Seminar je po pravilu imao šezdesetak slušalaca, koji su pratili i razne specijalističke kurseve kojima su rukovodili vrhunski stručnjaci. To je neponovljiva naučna atmosfera”, seća se profesor Kočinac, iskreno žaleći što se “struktura te ruske matematičke škole znatno razrušila”, jer su se njeni profesori razišli po čitavom svetu (u Meksiku, npr., postiji značajna kolonija ruskih matematičara, ima ih na Novom Zelandu).
Profesor Ljubiša Kočinac je prošle godine ponovo bio u Moskvi, na jednoj naučnoj konferenciji, kao predavač po pozivu, što smatra “jednim od profesionalnih uspeha”. Iako je i dalje impresioniran onim što je “zatekao” prilikom prvog boravka u Moskvi, kaže da je ona još uvek “vrhunski svetski naučni centar”. Rado priča o bogatom kulturnom životu u tadašnjem sovjetskom glavnom gradu. “Šta mi drugo da radimo nego da podižemo stanje duha i da se bavimo naukom”, rekao mu je tada jedan ruski prijatelj. “Da bi se ušlo na izložbu eksponata iz Drezdenske galerije u Puškinovom muzeju čekalo se i po desetak sati i prekratiti čekanje je bilo pravo umeće. Služeći se ruskim trikovima uspeo sam da za pet sati uđem u izložbenu salu. Imao sam sreće, zahvaljujući poznanstvu sa čovekom čija je majka radila na blagajni Baljšoj teatra, čije su predstave unapred bile rasprodate, da praktično često dobijem kartu. Odlazio sam na koncerte u Kongresni dvorac ili na Konzervatorij Čajkovskog”.
 |
Prva gidža (čokot) se orezuje na Sv. Trifuna |
Pitamo profesora Kočinca za korene topologije u Rusa. Zašto se opredelio upravo za ovu matematičku disciplinu. Kaže da ruska topologija seže do vremena Petra Velikog, a da je temelje savremenoj topologiji postavio akademik Pavel Sergejevič Aleksandrov, rukovodilac Katerdralnog seminara. “Akademik Aleksandrov je neobično interesantna ličnost, osnivač moskovske topološke škole”, kaže. “Njegova aksiomatika iz dvadesetih godina je opšte usvojena. Aleksandrov je zasnavao aksiološku topologiju kao nauku. I to na sistemu tri aksiome. Čovek ne može da shvati da se iz tako jednostavnog sistema može izvesti čitava naučna disiciplina. To su aksiome za tzv. otvorene skupove, koje su nadvladale neke druge ponuđene aksiomatike u to vreme.” veli ugledni srpski topolog.
A što se tiče najdubljih korena topologije i prvih radova koji se mogu tako nazvati, onda se, kaže profesor, moramo vratiti do Ojlera i problema “kenigsberških mostova”. Bilo ih je sedam. Prvi čisto topološki problem je bio ovako definisan: “Može li se proći preko svih sedam mostova a da se ni preko jednog ne prođe dva puta?” Ojler je taj problem rešio.
”Savremena topologija je daleko od topologije dvadesetih godina prošlog veka, jer su se razvile različite poddiscipline, koje su postale samostalne. Žalosno je sa stanovišta opšte topologije, kojom se ja bavim, koja bi trebalo da bude i jeste podloga za sve druge, da u svetu više ne uživa posebno povoljan tretman. Dominiraju geometrijska, algebarska, diferencijalna topologija. Kao i u svim drugim oblastima života, prosto jedna grupa ljudi proglasi nešto čime se bavi važnijim od svega onog čime se drugi ljudi bave”, kaže Kočinac.
Karta za elitu
Prvi kursevi topologije su u nas držani od 1965, kada je profesor Đuro Kurepa prešao iz Zagreba na Beogradski univerzitet. Profesor Kočinac je topologiju slušao na trećoj godini studija šezdesetosme. “Budući da je matematika dovoljno apstraktna, istančana misaona disciplina, topologiju sam prihvatio kao nešto blisko mom duhu i mom poimanju nauke. Na studijama nismo imali bogzna kakav kurs, ali sam ja učio mnogo više, čitao knjige koje su se tek pojavile tih godina i napisao prvi seminarski rad iz topologije. Rekao sam sebi: ako se budem ozbiljno bavio matematikom onda će moj izbor biti topologija. Bila je to početna svest o mogućem bavljenju naučnim radom”.
Dilemu nauka ili školski dnevnik otklonio je kod gimnazijskog profesora, tada na odsluženju vojnog roka, nagovor prijatelja da konkuriše za mesto asistenta na katedri za matematiku Filozofskog fakulteta u Nišu. Već na drugoj godini asistenture Kočinac je držao vežbe iz topologije i predmet zadržao do dana današnjeg. Iako je kod akademika Kurepe magistrirao i doktorirao, Kočinac je svoju doktorsku disertaciju Neke osobine kardinalnoznačnih funkcija pripremao na ruskom izvoru, izložen zračenju klasika matematičke topologije Aleksandrova, Arhangeljskog i dr.
Nezabeležen slučaj
Kada je tokom sankcija trebalo da u jednom američkom naučnom časopisu objavi rad nije pristao da na zahtev jednog od recenzenata izostavi ime Srbija i svoju kućnu adresu. Recenzent pismo glavnom uredniku počinje zapanjujućom rečenicom: “Pominjanje Srbije u radu, istraživanje pomoglo Ministarstvo za nauku Republike Srbije, protivreči rezoluciji UN. Ako vi mislite suprotno kontaktirajte Vaš Stejt department. Osim toga, Kočinac mora (nema treba) da promeni svoju adresu. On može da koristi, na primer, adresu profesora Kamarota (Mesina)”. Bio je to “krajnje nacistički pristup” matematičkom radu. “Glavni urednik časopisa mi se kasnije izvinio i rekao da će dotičnog recenzenta skinuti s liste. Pretpostavio sam da je reč o jednom Nemcu koji živi u Južnoj Africi, s kojim sam imao jednu neprijatnu raspravu u Bernu, u vreme krize u Borovo selu”. |
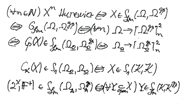
Profesor Kočinac je dosad objavio 103 naučna rada u najuglednijim matematičkim časopisima 19 zemalja. Rad An exemple of a new class of spaces, objavljen u Matematičkom vesniku 35, 1983, bio je svojevrsna ulaznica u svetsku topološku elitu. Kočinac prvi uvodi slabo savršene prostore kao prirodnu generalizaciju klasičnog pojma savršenih prostora pokazavši da je nova klasa zaista šira od klase savršenih prostora. Uveo je i klasu prostora sa slabom G-delta dijagonolom. Slabo savršene prostore su zatim izučavali Robert Hit, Benet, Hosobuši, Lucer, Arhangeljskij, Ludvig i drugi topolozi. Ovaj rad Ljubiše Kočinca je uvršten u monografiju Recent Progress in General Topology II (Elsevier, 2002) čiji su autori H. Benet i J. Lucer u okviru poglavlja Recent Developments in the Topology of Ordered Spaces. Benet i Lucer ističu da u klasi tzv. generalisano uređenih prostora slabo savršeni prostori “jesu jedina prava generalizacija savršenosti” i da “u toj klasi postojanje slabo savršenih prostora koji nisu savršeni jeste gotovo pravilo”.
U radu Bi-quotient images of ordered spaces (1896) se bavi biradijalnim prostorima koji su takođe postali značajan predmet istraživanja (Arhangeljskij, Bela, Tanaka, Sakai, Lin, Njikoš, Silva), a posvećen im je deo jedne doktorske disertacije rađene u Meksiku. Poseban odjek su imali radovi Function spaces and a property of Reznichenko (Topology Appl., 123,2002) i Combinatories on open covers (VII): Groupability (Fond. Math., 179, 2003), zajedno sa Amerikancem Marionom Skipersom. Ova dva rada, čije je Kočinac prvi koautor, citirani su više od 20 puta u radovima drugih autora, u tri doktorske disertacije (Izrael, Italija, Makedonija) i jednoj monografiji.
Potvrđena hipoteza
“Ovi radovi se delom odnose na jednu novu osobinu topoloških prostora koju smo Skipers i ja nazvali osobina Rezničenka. Hipotezu koju smo u vezi sa tom osobinom izložili u prvom radu potvrdio je svojim istraživanjem izraelski matematičar Boas Caban”, kaže Kočinac. Caban u svom radu koristi naziv “Kočinac-Skipersova hipoteza”. U drugom radu autori su utvrdili duboku vezu između osobine Rezničenka i klasične osobine Hurevica (iz 1925) i izložili opšte rezultate o vezi između tzv. selekcionih principa, teorije igara i teorije Remzija iz kombinatorne matematike.
 |
U dvorištu rodne kuće |
Rezultat u vezi sa tzv. jakom lepezastom tesnoćom prostora funkcija, iz jednog od novijih radova, daje autoru mogućnost da u jednom od narednih radova jezikom prostora funkcija sa kompaktno-otvorenom topologijom okarekteriše metrizabilnost mnogostrukosti, jer je, kako kaže, poznato “da se to ne može uraditi pomoću iste osobine u prostorima funkcija sa topologijom obične konvergencije”. Pregledni članak (rezultati, problemi i perspektive) u vezi sa selekcionim principima u topologiji, pisan na osnovu jednočasovnog plenarnog predavanja na konferenciji u Tabrizu (jula 2004) već je imao značajna navođenja (npr., u jednom radu poznatog matematičara S. Šelaha).
Vinogradar i povrtar
Roditelji profesora Kočinca nisu živi pa imanje na selu sam obrađuje. Pitamo čime se najviše bavi.“Šta bi za jednog Župljanina bilo značajnije od lojza (vinograda)?”, kaže. “Pravim vino, pečem rakiju, a kada je tu sin Saša (docent na Tehnološkom fakultetu u Beogradu) gajimo raznovrsno povrće. Oplemenili smo baštu nekim sortama zeleniša, luka, tikvica, plavog patlidžana, paprike iz Meksika, Italije i drugih zemalja. “Ponešto i neće da se razvije, na primer, beli luk iz Meksika i neke italijanske salate. Ili im temperatura ne odgovara ili mi ne umemo da ih gajimo”, veli. Idilični život na selu ulepšava mu poslednjih godina unuk Ilija i unučica Maša. |
Profesor Kočinac, uz rad na naučnom polju, ne zapostavlja ni pedagošku aktivnost. Kaže da se matematika u Nišu za kratko vreme veoma lepo razvila (katedra je nedavno obeležila tridesetogodišnjicu osnivanja). “Imamo izvanredne studente, mlade matematičare sa svetski zapaženim rezultatima, koji su srećom ostali u zemlji. Neki su napravili i lepe karijere. Imamo i uspešnih matematičara u inostranstvu, kao što su Stevo Todorović (Toronto, Pariz) i Boban Veličković (Pariz), koji održavaju dobre veze sa Srbijom”, kaže.
Pre tri godine Ljubiša Kočinac je, sa Skipersom i Cabanom, organizovao matematičku radionicu u Lećeu (Italija). Trenutno je urednik jedne tematske knjige, potpuno odgovoran za izbor autora i recenziranje, a biće i sam pisac jednog poglavlja.
Župa je njegova Itaka, u kojoj svakim novim radom potvrđuje da se i daleko od naučne metropole može postati poznat u svetu. Samo kada bi još Srpska akademija više pažnje obratila na naučne poslenike koji žive i rade izvan njenog neposrednog okruženja.
Miloslav Rajković
|